Una aproximación al análisis de costos en la pesca de langostino en Chubut mediante técnicas de ciencia de datos
An approach to cost analysis of shrimp fishery in Chubut through data science techniques
Federico Maximiliano López Díaz Leo OrdinezEl sector pesquero representa una de las principales actividades económicas de la provincia del Chubut, Argentina, según relevamientos de la Secretaría de Política Económica (2022). Dentro de este sector, la pesca de langostino (Pleoticus muelleri) llevada a cabo por buques tangoneros-congeladores constituye una de las ramas más dinámicas y de mayor relevancia tanto en términos productivos como económicos (Schulze & Góngora, 2022).
Dado el volumen y la complejidad de las operaciones, resulta fundamental contar con herramientas que permitan analizar y comprender los costos y niveles de producción asociados a esta actividad (Sala et al. 2018). En este sentido, el uso de metodologías de análisis de datos aplicadas a registros reales del sector constituye un enfoque valioso para identificar patrones, evaluar desempeños y fundamentar la toma de decisiones (Bradley et al. 2019) (Gladju et al. 2022).
El presente trabajo tiene como objetivo desarrollar una metodología de análisis de datos orientada al estudio de la producción y los costos de la pesca de langostino durante la temporada 2022. Para ello, se utilizarán bases de datos provistas por una empresa pesquera de la región, las cuales incluyen información sobre costos directos de producción y descargas de langostino. A partir de este insumo, se propone realizar un análisis integral que abarque desde la estructuración de los datos hasta su visualización, exploración de relaciones entre variables y evaluación de indicadores clave para el sector.
Para llevar adelante el análisis se utilizaron dos bases de datos provistas por una empresa pesquera radicada en la provincia del Chubut:
1- Costos directos de producción (año 2022): contiene información detallada sobre los gastos operativos asociados a cada buque y marea, incluyendo rubros como combustibles, estibajes y remuneraciones.
2- Descargas de producción (año 2022): reúne datos sobre las toneladas de langostino descargadas por cada buque, clasificaciones del producto, fechas y puertos de descarga.
La unidad de análisis seleccionada fueron los buques tangoneros-congeladores que operaron durante la temporada 2022. A partir de la identificación común de cada embarcación y marea, se realizó una vinculación entre ambos conjuntos de datos.
El procesamiento y análisis de los datos se llevó a cabo utilizando la herramienta Google Colab (Bisong, 2019), que permite ejecutar código Python (2023) en un entorno colaborativo en la nube. Se aplicaron técnicas de limpieza, transformación y estructuración de datos para garantizar su consistencia y facilitar su análisis posterior. Entre las principales etapas metodológicas se destacan:
1. Esquematización y modelado de los datos: se estandarizaron formatos, se unificaron variables clave y se eliminaron registros inconsistentes.
2. Visualización de datos: se elaboraron gráficos para representar de manera clara la distribución de descargas, los costos por marea y por buque, y otros indicadores relevantes.
3. Análisis exploratorio de correlaciones: se utilizaron gráficos de dispersión y regresiones lineales simples para identificar posibles relaciones entre variables como toneladas descargadas y costos operativos.
4. Evaluación comparativa de costos y producción: se calcularon costos unitarios por tonelada y se compararon entre embarcaciones.
Todo el procesamiento fue desarrollado mediante bibliotecas de análisis de datos y visualización tales como pandas, matplotlib, seaborn y numpy (Lemenkova, 2019).
Esquematización, modelado y estructuración del problema de datos
A partir de los dos conjuntos de datos, se buscó una armonización de ambas bases para lograr una visualización adecuada de la información, y así contar con datos de forma resumida y facilitar la toma de decisiones.
Para esquematizar el problema de datos, se hace uso del Diagrama entidad-relación (ER), modelo conceptual que expresa una descripción de los datos del problema a través del diagrama.
El diagrama entidad-relación representa la estructura lógica general de una base de datos. Se basa en la percepción del mundo real, consistente de un conjunto de:
1. objetos básicos, denominadas entidades;
2. Relaciones entre estos objetos.
El diagrama ER representa el nivel más bajo de abstracción. Indica como lo que está en el sistema se va a guardar en una base de datos. El modelo cuenta con tres conceptos básicos,
1. entidades,
2. relaciones,
3. atributos.
Una entidad es un objeto que existe y que puede distinguirse de otros objetos. Puede ser concreta o abstracta. Para el trabajo se definirán entidades de carácter concretas, por ej.:
1. Barco: A, B, C, D, E, F
2. Marea: 01, 02, 03, 04, 05, etc.
3. Producción: 01, 02, 03, 04, etc.
4. Costo Directo: Combustible, Remuneraciones, Víveres, etc.
A un grupo de entidades del mismo tipo se le llama conjunto de entidades, para nuestro ejemplo. el grupo de entidades sería:
1. Barcos
2. Mareas
3. Producción
4. Costos Directos
Cada entidad o el conjunto de entidades tienen características que la representan. Dichas características en el diagrama ER se denominan atributos. Siguiendo con el ejemplo serían:
Barcos:
1. N° de SENASA
2. Nombre del barco
3. Cantidad de Tripulantes
4. Capacidad de Bodega de Producción
Costos Directos:
*N° de Cuenta Contable
*Nombre de la Cuenta
*Cantidad Expresada en Moneda
*Tipo de Moneda
*Cotización de moneda
Producción:
1. Fecha Descarga
2. N° Comprobante
3. Volumen
4. Clasificación Producto
5. Precio
Mareas:
1. N° Marea
2. Fecha Inicio Marea
3. Fecha Finalización Marea
Análisis y limpieza de los dataframe
Resulta fundamental asegurarnos que los datos contenidos en las bases de datos con las que se va a trabajar sean confiables. Para ello, es necesario realizar un análisis exploratorio de datos.
El análisis exploratorio de datos (EDA), se aplica como metodología para analizar conjunto de datos, buscando resumir sus principales características y comprender las relaciones.
a. Costos Directos de Producción: Tamaño: 20.958,12
b. Descargas de Producción: Tamaño: 320,9
Se procedió a la verificación de valores nulos y valores duplicados.
Se realizó una limpieza y reacomodamientos de los datos de los dataframe, esto es:
1. Obtener información acerca de los dataframe bajo estudio (dimensiones, estadísticas);
2. Verificación si hay valores nulos y valores duplicados;
3. Eliminación de filas y/o columnas prescindibles para el análisis;
4. Desagrupar columna compuesta y crear nuevas con datos individualizados. Ej. Fecha de salida y fecha de entrada.
5. Cálculo de datos en función de datos de otras columnas (ej. Días de pesca).
Visualización de datos
La visualización de datos es la representación gráfica de información y datos. Consiste en sintetizar información, ayudando a identificar patrones, tendencias y relaciones entre los datos.
Una vez analizados y armonizados los conjuntos de datos, se procedió a hacer uso de bibliotecas como Matplotlib para la visualización de estos. Dado que se contaba mayoritariamente con variables cuantitativas, se procedió a hacer uso de gráficos de barras y gráficos de torta para la visualización.
Por lo tanto, se hicieron cinco gráficos:
a. Total producción año 2022 clasificada
Figura 1: Producción 2022 clasificada

Fuente: elaboración propia.
En este gráfico se observa la cantidad de kilos que han sido descargados, clasificados por artículo (figura 1).
b. Producción por barco
Figura 2: Producción por barco

Fuente: elaboración propia.
En este gráfico se observa cuál ha sido la producción por barco y cuál ha sido su participación sobre el total (figura 2).
Resulta interesante, ya que, si tuviéramos el dato de la capacidad de bodega de cada buque, se podría profundizar el análisis, dado que podríamos obtener una media entre el total de lo capturado en el año respecto a la cantidad de mareas operativas y calcular el desvío respecto a su capacidad.
c. Producción por mes
Figura 3: Producción por mes

Fuente: elaboración propia.
En este gráfico se puede observar cuales han sido los meses en los cuales hubo mayor operatividad y mayores descargas (figura 3).
En resumidas cuentas, se observa que en el periodo junio 2022 - septiembre 2022 se da la mayor operatividad, siendo el mes de agosto de 2022 el de mayor producción.
d. Descargas por puerto
Figura 4: Descargas por puerto

Fuente: elaboración propia.
En este gráfico se visualiza cuál ha sido la cuota de participación de cada puerto en las descargas (figura 4). Esto es:
*Puerto de Puerto Madryn: Participación del 69% sobre el total de las descargas.
*Puerto de Caleta Paula: Participación del 31% sobre el total de las descargas.
Se podría profundizar el estudio analizando la conveniencia de esta toma de decisiones. Para ello, se dejan planteados los siguientes interrogantes:
*¿Es por la cercanía de la zona de pesca al puerto?
*¿Es por la cercanía a los depósitos y/o cámaras?
*¿Es por cuestión de capacidad de los puertos?
*¿Es por una cuestión de costos?
*¿Es por una cuestión jurídica?
e. Costo de estiba por buque y marea
Figura 5: Costo de estiba por buque y marea

Fuente: elaboración propia.
En primer término, aclarar que se están analizando los costos POR MAREA, y no por mes. Es decir, la referencia 2022-01 representa la marea n° 01 y no el mes de enero de 2022.
El gráfico muestra la distribución de los costos de estibaje para diferentes barcos, agrupados por marea. Esto permite observar cómo se distribuyen los costos a lo largo de las mareas y entre los distintos buques.
El apilamiento de las barras permite visualizar la proporción que cada barco contribuye al costo total de estibaje en cada marea.
Cada color representa un barco específico, facilitando la identificación de qué buque incurre en mayores costos en cada marea.
Al observar la altura de las barras apiladas, se observa que mareas tuvieron mayores costos respecto a la estiba. Esto puede guardar correspondencia con un aumento en la actividad productiva durante esa marea (figura 5).
Correlación
Un análisis de correlación es una técnica estadística utilizada para evaluar la relación entre dos o más variables. Su objetivo principal es determinar si existe una asociación significativa entre las variables y, de ser así, cómo es esa relación.
Se busca entender si un cambio en una variable (independiente) está asociado con un cambio en otra variable (dependiente).
• Dirección de la relación:
*Correlación positiva: Ambas variables aumentan o disminuyen juntas. Por ejemplo, si el costo de los materiales aumenta, los costos operativos también podrían aumentar.
*Correlación negativa: Una variable aumenta mientras que la otra disminuye. Por ejemplo, si la eficiencia operativa de un barco aumenta, los costos operativos pueden disminuir.
• Fuerza de la relación: Se mide mediante el coeficiente de correlación, que varía entre -1 y 1.
*Un valor cercano a 1 o -1 indica una fuerte correlación (correlación positiva o negativa)
*Un valor cercano a 0 indica poca o ninguna correlación (no existe correlación)
• Limitaciones:
1. Correlación no implica causalidad: Sólo porque dos variables estén correlacionadas no significa que una cause la otra. Puede haber otras variables involucradas que influyan en la relación.
2. Sensibilidad a valores atípicos: Los valores atípicos pueden afectar significativamente el coeficiente de correlación.

1.- Análisis de correlación con gráficos de dispersión y líneas de regresión - Conjunto de barcos sin distinción de marea
En este apartado se incluirán gráficos de dispersión entre las Tns y otras tres variables: Combustibles y Lubricantes, Estibajes y Remuneraciones y Cargas Sociales.
Cada gráfico incluye una línea de regresión y formatea el eje Y.
Figura 6: Análisis del conjunto de barcos sin distinción de marea.

Fuente: elaboración propia.
El análisis de correlación realizado mediante gráficos de dispersión ayuda a entender la relación entre la variable "Tns" (toneladas) y las otras variables:
"*Combustibles y Lubricantes"
"*Estibajes"
"*Remuneraciones y Cargas Sociales".
Se puede observar una tendencia positiva, esto es, a medida que "Tns" aumenta, también lo hacen las otras variables (se forma una línea ascendente), esto indica una correlación positiva. Significa que, a mayor cantidad de toneladas, mayor consumo de combustibles, más costos de estibajes, o mayores remuneraciones. (Se observará más adelante que no es tan así).
Asimismo, respecto a la fuerza de correlación, se observa que los puntos se encuentran bastante agrupados alrededor de una línea recta, esto significa que la correlación es fuerte.
Si los puntos se encontrasen alejados de la línea, se concluiría que la correlación es débil dado que existen puntos que están más dispersos. Esos valores atípicos que se desvían del patrón general merecen una evaluación adicional (figura 6).
El cálculo de correlación sirve para cuantificar la relación, se puede calcular el coeficiente de correlación (como Pearson). Esto te dará un valor entre -1 y 1, donde:
1 indica una correlación positiva perfecta,
-1 indica una correlación negativa perfecta
0 indica ninguna correlación

Con el código que, generado, se observan valores de correlación entre la columna "Tns" y cada una de las otras tres variables.
Se observa que el valor de correlación entre "Tns" y "Combustibles y Lubricantes" es 1, significa que a mayor cantidad de toneladas (Tns), mayor es el gasto en combustibles y lubricantes. De igual modo para "Estibajes" y para "Remuneraciones y Cargas Sociales".
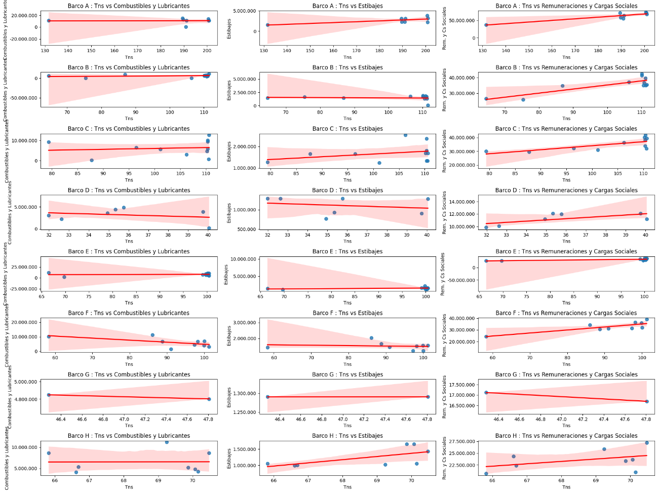
2.- Análisis de correlación con gráficos de dispersión y líneas de regresión - Individual por barco y marea
Figura 7: Análisis individual por barco

Fuente: elaboración propia.
Los datos de cada barco se visualizan en tres gráficos diferentes, uno para cada variable, mostrando cómo cambian en función de las Tns a través de las distintas mareas (figura 7).
Variables:*Combustibles y Lubricantes
*Estibajes
*Cs Sociales
Gráficos por Barco: Para cada barco se crean tres gráficos diferentes, uno para cada variable, mostrando todos los datos de las distintas mareas en el mismo gráfico.
Subgráficos: Se organiza en una cuadrícula con tres columnas para cada barco, lo que facilita la comparación de cómo varían las diferentes variables con respecto a las toneladas descargadas (Tns).
3.- Análisis de correlación con gráficos de dispersión y líneas de regresión - Conjunto de barcos por marea
Figura 8: Análisis del conjunto de barcos por marea

Fuente: elaboración propia.
Se observa que hay una tendencia clara en los puntos cuando hablamos de la relación: "Tns y Rem. y Cs Sociales" y "Tns y Estibajes". Esto indica una correlación positiva, es decir, a medida que "Tns" aumenta, también lo hacen las otras variables (se forma una línea ascendente). Significa que a mayor cantidad de toneladas, mayores costos en Estiba y Remuneraciones al Personal.
Sin embargo, para el caso de la relación entre "Tns y Combustible y Lubricantes" la relación es negativa, es decir, el costo en combustible y lubricantes no incide en la producción de la marea. En otras palabras, el costo de combustible no depende en si se pesca más o menos, va a depender en mayor parte de la distancia hacia la zona de pesca y los días de pesca (figura 8).
1.- Análisis de Producción
¿Los buques operaron a su capacidad máxima? ¿Hubo ociosidad? ¿Qué tipo de ociosidad?
La capacidad de producción es la posibilidad MAXIMA que tiene un Ente o determinado sector de él (conjunto de acciones homogéneas) para GENERAR UNO O MAS objetivos productivos, tanto en la función de transformación como en cualquier otra que implique la creación de utilidad o adición de valor.
En nuestro caso, la cantidad de objetivos productivos máximos va a estar definida por la capacidad de bodega.
a.- Análisis Individual por Buque
Del análisis surge que hubo capacidad ociosa operativa, calculada tanto en unidades como en porcentaje.
Se podría definir un % máximo de desvío, a partir del cual todos aquellos porcentajes superiores indiquen una luz amarilla.

En nuestro caso, si se definiese un desvío tolerable de 10%, observamos que hay tres buques que requieren un análisis en profundidad, como es el caso del:
-Barco D: 11,80%;
-Barco G: 112,55%
-Barco H: 16,59%
b.- Análisis considerando el conjunto de Buques
¿Los buques operaron a su capacidad máxima? ¿Hubo ociosidad? ¿Qué tipo de ociosidad?
Respondiendo a la pregunta inicial, sí, hubo ociosidad operativa. Sin embargo, considerando el % de desvío máximo tolerable, podríamos concluir que la operación y los objetivos productivos estuvieron dentro de los parámetros esperados.
-Objetivos productivos máximos: 7.140 Tn.
-Objetivos productivos realmente logrados: 6.487 Tn.
-Capacidad Ociosa Operativa en Unidades: 652 Tn.
-Capacidad Ociosa Operativa en %: 10,05 %
2.- ¿Cuál fue el costo total de estiba por buque y cuál fue el costo unitario?
Para dar respuesta a la pregunta se realizó un cruce de información entre el dataframe de costos y el dataframe de descargas, utilizando los siguientes datos de cada uno:
-dataframe costos: Costos de estiba, clasificados por buque y marea.
-dataframe descargas: Producción por buque y marea.
Del cruce obtuvimos la siguiente información:

Se puede concluir que el costo unitario por tn oscila entre 14,000 y 18,000, salvo en dos casos, el Barco D y el Barco G.
Esto encuentra relación en el tamaño del buque y su capacidad de bodega. Cuando hablamos de costo de estiba, no necesariamente existe una correlación entre el costo total y las toneladas descargadas, dado que se manejan distintos presupuestos dependiendo, entre otras cosas, el tamaño del buque, día y hr en la que se descarga y la cantidad a descargar.
Entonces, centrando la atención en los buques en los que el costo unitario por tn se dispara, la justificación se encuentra en que se le aplica un presupuesto de descarga mínima. Esto es, independientemente de las descargas del buque, si es inferior a determinada cantidad de tn, (por ej., 90), se le aplica una tarifa general. Esto conlleva que, al calcular el costo unitario, el valor se dispare.
3.- Reflexiones sobre la correlación entre producción y costos
El análisis de correlaciones indicó relaciones positivas fuertes entre las toneladas descargadas y los costos operativos en ítems como remuneraciones, cargas sociales y estibajes, pero no así con el gasto en combustibles y lubricantes. Este último presentó una relación débil o incluso negativa, lo cual refuerza la hipótesis de que dicho costo está más asociado a la distancia recorrida y el tiempo de navegación que al volumen efectivamente capturado.
Esta observación invita a diseñar análisis futuros con mayor granularidad, incorporando variables como ubicación de zonas de pesca, duración de mareas, o eficiencia de motores.
El presente trabajo tuvo como objetivo desarrollar una metodología de análisis de datos aplicada al estudio de la producción y los costos del sector pesquero, en particular de la flota tangonera-congeladora dedicada a la pesca de langostino (Pleoticus muelleri) en la provincia del Chubut durante la temporada 2022. A partir de bases de datos provistas por una empresa del sector, se diseñó un enfoque que integró procesos de limpieza, modelado, visualización y análisis exploratorio y estadístico.
Uno de los principales aportes del estudio radica en la capacidad de vincular de manera sistemática información dispersa y heterogénea, generando indicadores clave para evaluar la eficiencia operativa de los buques, identificar patrones de costos, y detectar posibles márgenes de mejora en la planificación logística. La aplicación de herramientas de ciencia de datos, tales como Python y Google Colab, permitió desarrollar un flujo de trabajo reproducible y escalable, apto para su adaptación a otras campañas o empresas del sector.
Los resultados obtenidos permiten afirmar que existen diferencias significativas en el desempeño operativo entre embarcaciones, tanto en términos de producción como de eficiencia de costos. Se detectaron niveles de capacidad ociosa en algunos buques que superan umbrales tolerables, lo que sugiere una utilización subóptima de recursos disponibles. Asimismo, el análisis de correlación mostró asociaciones positivas fuertes entre los volúmenes de captura y ciertos rubros de costo, aunque también reveló que no todos los costos crecen en función directa de la producción.
A partir de estos hallazgos, se destacan dos líneas de valor agregado. En primer lugar, la posibilidad de utilizar este tipo de análisis como herramienta interna de gestión empresarial, para mejorar la asignación de mareas, optimizar el uso de las bodegas y controlar los costos logísticos. En segundo lugar, se sugiere su utilidad como insumo para organismos públicos, como el Consejo Federal Pesquero o entes provinciales, interesados en fortalecer la planificación estratégica del recurso y la eficiencia del sector extractivo.
Como trabajos futuros, se propone continuar esta línea de investigación incorporando nuevas variables al análisis, como información sobre zonas de pesca, duración real de las mareas, datos meteorológicos o desempeño energético, lo que permitiría avanzar hacia modelos predictivos o sistemas de apoyo a la toma de decisiones basados en datos.
Bradley, D., Merrifield, M., Miller, K. M., Lomonico, S., Wilson, J. R., & Gleason, M. G. (2019). Opportunities to improve fisheries management through innovative technology and advanced data systems. Fish and fisheries, 20(3), 564-583.
Bisong, E. (2019). Google Colaboratory. In Building machine learning and deep learning models on Google Cloud Platform (pp. 59–64). Bekerley: Apress. DOI: https://doi.org/10.1007/978-1-4842-4470-8_7
Gladju, J., Kamalam, B. S., & Kanagaraj, A. (2022). Applications of data mining and machine learning framework in aquaculture and fisheries: A review. Smart Agricultural Technology, 2, 100061.
Lemenkova, P. (2019). Processing oceanographic data by Python libraries NumPy, SciPy and Pandas. Aquatic Research 2(2), 73-91. DOI: 10.3153/AR19009
Python Software Foundation. (2023). Python (Version 3.11) [Computer software].Recuperado de: https://www.python.org/
Sala, E., Mayorga, J., Costello, C., Kroodsma, D., Palomares, M. L., Pauly, D., Sumaila, R. & Zeller, D. (2018). The economics of fishing the high seas. Science advances 4(6), eaat2504.
Secretaría de Política Económica & Subsecretaría de Programación Regional y Sectorial (2022). Informe productivo provincial: Chubut. Año 7, N° 40, junio de 2022. Ministerio de Economía de la Nación.Recuperado de: https://www.argentina.gob.ar/sites/default/files/40_2022_chubut.pdf
Schulze, M. S., & Góngora, M. E. (2022). Los agentes económicos de la pesca industrial en la Argentina: Las cámaras empresariales pesqueras. Nuevo Mundo Mundos Nuevos, Questions du temps présent. DOI:https://doi.org/10.4000/nuevomundo.87136